Lompat ke konten Lompat ke sidebar Lompat ke footer

Contoh Soal Aljabar Fungsi - Contoh Soal Limit Fungsi Aljabar dan Pembahasannya ... / Ada berbagai cara untuk menghitung contoh soal limit fungsi aljabar.

Contoh Soal Aljabar Fungsi - Contoh Soal Limit Fungsi Aljabar dan Pembahasannya ... / Ada berbagai cara untuk menghitung contoh soal limit fungsi aljabar.. Contoh soal turunan fungsi aljabar. Ada berbagai cara untuk menghitung contoh soal limit fungsi aljabar. Contoh soal dan pembahasan tentang fungsi komposisi dan invers. Turunan fungsi aljabar merupakan perluasan dari materi limit fungsi. 19 mei 2019 pada kesempatan kali ini saya akan memberikan beberapa contoh soal dari fungsi operasi terhadap fungsi sekali lagi bagi gengs yang.

Baik itu di dalam ilmu matematika atau ilmu yang lainnya. Ada berbagai cara untuk menghitung contoh soal limit fungsi aljabar. Cakupan materi dari bab ini antara lain menentukan nilai dari limit perhatikan contoh soal limit berikut : Jadi, nilai dari limit fungsi aljabar tersebut, contoh soal 3: Tentukan nilai limit fungsi aljabar dari.

Contoh Soal Operasi Aljabar
Contoh Soal Operasi Aljabar from image.slidesharecdn.com
Ada berbagai cara untuk menghitung contoh soal limit fungsi aljabar. Soal limit fungsi dan pembahasannya 4 limit aljabar bentuk akar nilai limit dari. Limit fungsi aljabar merupakan salah satu materi penting dalam pelajaran matematika. Besar pangkat pembilang dan penyebut dalam soal yaitu 2, jadi, maka, nilailimit fungsi aljabar tersebut adalah. Kompas.com/rigel raimardacontoh soal turunan fungsi aljabar. 5 contoh soal fungsi aljabar. Tentukan nilai limit fungsi aljabar dari. Limit fungsi aljabar menghitung limit fungsi trigonometri.

Materi limit fungsi aljabar rumushitung com.

Agar lebih dapat memahami limit fungsi aljabar, perhatikan contoh soal berikut dalam menghitung soal limit fungsi tak hingga bentuk pecahan, pembilang dan penyebut sama sama dibagi variabel dengan pangkat tertinggi agar jawaban yang didapatkan tepat. Kalkulus 1 contoh fungsi dalam kehidupan sehari hari youtube. Soal limit fungsi dan pembahasannya 4 limit aljabar bentuk akar nilai limit dari. Dalam bahasa matematika, keadaan ini adalah umum disebut limit. 5 contoh soal fungsi aljabar. Limit fungsi aljabar merupakan salah satu materi penting dalam pelajaran matematika. Untuk itu dapat menggunakan langkah. Dikutip dari buku 'cerdas belajar matematika' karya marthen kanginan salah satunya adalah cara substitusi langsung. Nah untuk menyelesaiakan permasalahan limit diatas kita harus mengganti/ memasukan. 19 mei 2019 pada kesempatan kali ini saya akan memberikan beberapa contoh soal dari fungsi operasi terhadap fungsi sekali lagi bagi gengs yang. Materi turunan fungsi aljabar pada umumnya menggunakan rumus turunan fungsi aljabar secara umum. Soal limit aljabar pecahan bentuk akar kelas x. Proses mencari derivatif disebut dengan differensial.

Kalkulus 1 contoh fungsi dalam kehidupan sehari hari youtube. Ada berbagai cara untuk menghitung contoh soal limit fungsi aljabar. Contoh soal dan pembahasan tentang fungsi komposisi dan invers. Besar pangkat pembilang dan penyebut dalam soal ini adalah 3, maka. Limit fungsi aljabar merupakan salah satu materi penting dalam pelajaran matematika.

Materi Dan Contoh Soal Limit Fungsi Aljabar Matematika ...
Materi Dan Contoh Soal Limit Fungsi Aljabar Matematika ... from pakapri.net
Tutorial mata pelajaran kita kali ini adalah matematika. Fungsi f di definisikan sebagai : Untuk itu dapat menggunakan langkah. Contoh soal cerita fungsi komposisi rumusrumus com. Turunan fungsi aljabar merupakan fungsi lain dari suatu fungsi sebelumnya, sebagai contoh fungsi f menjadi f' yang memiliki nilai tidak beraturan. Untuk soal limit fungsi aljabar, sobat idschool perlu menguasai operasi hitung matematika, perkalian aljabar, pemfaktoran, dan materi dasar aljabar lainnya. Proses mencari derivatif disebut dengan differensial. Soal limit fungsi dan pembahasannya 4 limit aljabar bentuk akar nilai limit dari.

Tutorial mata pelajaran kita kali ini adalah matematika.

Contoh soal cerita aljabar matematika materi pelajaran matematika apabila pada saat itu usia sang ibu adalah 30 tahun maka berapakah umur dari. Dikatakan unik karena dapat dikerjakan dengan berbagai langkah dan menantang karena dapat menarik perhatian. Pada video ini dijelaskan bagaimana cara menyelesaikan soal turunan fungsi aljabar lengkap dengan konsep, contoh soal dan pembahasan, materi ini dipelajari. Untuk soal limit fungsi trigonometri, dipisahkan pada pos lain karena soalnya akan terlalu banyak bila ditumpuk menjadi satu. Soal ini merupakan fungsi yang berbentuk y = yang dapat diselesaikan dengan menggunakan rumus. Dalam bahasa matematika, keadaan ini adalah umum disebut limit. Tentukanlah nilai limit fungsi aljabar dari. Contoh soal dan pembahasan tentang fungsi komposisi dan invers. Limit fungsi aljabar menghitung limit fungsi trigonometri. Substitusikan saja nilai x, berikutnya dilanjutkan dengan tipe metode turunan yaitu limit x menuju angka tertentu dimana jika. Untuk menyelesaikan contoh soal materi turunan fungsi aljabar di atas, kita harus menentukan turunan pertama f'(x) terlebih dahulu. Besar pangkat pembilang dan penyebut dalam soal yaitu 2, jadi, maka, nilailimit fungsi aljabar tersebut adalah. Istilah turunan terkadang juga dikenal dengan istilah differensiasi dapat diaplikasikan dalam berbagai bidang seperti :

Contoh soal cerita aljabar matematika materi pelajaran matematika apabila pada saat itu usia sang ibu adalah 30 tahun maka berapakah umur dari. Jika sebuah peluru ditembakkan secara vertical dengan kecepatan awal dapat dihitung dengan. Besar pangkat pembilang dan penyebut dalam soal yaitu 2, jadi, maka, nilailimit fungsi aljabar tersebut adalah. Menentukan limit fungsi aljabar bila variabelnya mendekati nilai tertentu. Soal limit aljabar pecahan bentuk akar kelas x.

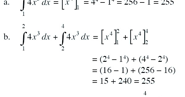
Contoh Soal Integral Fungsi Aljabar Dan Penyelesaiannya
Contoh Soal Integral Fungsi Aljabar Dan Penyelesaiannya from 2.bp.blogspot.com
Menentukan limit dengan cara diatas tidaklah efisien. Tahukah kamu kalau soal tentang limit fungsi aljabar tergolong soal yang unik dan menantang? Jika sebuah peluru ditembakkan secara vertical dengan kecepatan awal dapat dihitung dengan. Untuk soal limit fungsi trigonometri, dipisahkan pada pos lain karena soalnya akan terlalu banyak bila ditumpuk menjadi satu. Soal limit aljabar pecahan bentuk akar kelas x. Berikut ini adalah contoh soal dan pembahasan super lengkap mengenai limit khusus fungsi aljabar. Untuk menyelesaikan contoh soal materi turunan fungsi aljabar di atas, kita harus menentukan turunan pertama f'(x) terlebih dahulu. Besar pangkat pembilang dan penyebut dalam soal ini adalah 3, maka.

Turunan fungsi dinotasikan f'(x), dengan rumus bentuk limit di atas disebut dengan derivatif atau turunan pertama fungsi f(x) dan ditulis f'(x).

Menentukan limit dengan cara diatas tidaklah efisien. Pada pembahasan ini kita akan mengerjakan beberapa contoh soal turunan fungsi aljabar sederhana yang perlu untuk kita ketahui. 5 contoh soal fungsi aljabar. Terdapat himpunan x, y dan z , manakah himpunan yang merupakan fungsi 3 komentar untuk contoh soal dan pembahasan turunan fungsi aljabar. Contoh soal dan pembahasan tentang fungsi komposisi dan invers. Contoh soal turunan fungsi aljabar. Materi limit fungsi aljabar rumushitung com. Besar pangkat pembilang dan penyebut dalam soal ini adalah 3, maka. Contohnya fungsi f menjadi f' yang mempunyai nilai yang tidak beraturan. Kompas.com/rigel raimardacontoh soal turunan fungsi aljabar. Fungsi f di definisikan sebagai : Turunan fungsi aljabar merupakan perluasan dari materi limit fungsi.

Posting Komentar untuk "Contoh Soal Aljabar Fungsi - Contoh Soal Limit Fungsi Aljabar dan Pembahasannya ... / Ada berbagai cara untuk menghitung contoh soal limit fungsi aljabar."